立管內的氣固流動狀態一般可分為流化流動和非流化流動兩種。對于立管-翼閥系統, 不同的流動狀態在系統中流動的穩定性不同。
非流化流動狀態應力分析
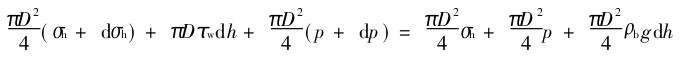
負壓差條件下, 當顆粒物料在圓柱形立管中呈逆壓差作移動床流動時( 非流化流動) , 假定: ( 1) 立管中流動徑向對稱; ( 2) 氣體與管壁的摩擦力及氣體的重力忽略不計。用軸向一維流動模型, 取立管任一高度的水平微元薄層, 受力分析如圖 1 所示, 圖中 h 向下為正。根據力平衡原理, 可得如下方程:





利用式( 4) 可以計算出移動床中不同物料在不同負壓差梯度時流動的應力變化, 如圖 2、3 所示。
圖 1 非流化流動的受力分析圖
Fig. 1 Force balance
of non-fluidized flow
由式( 4) 可知, 若顆粒物料與管壁間的摩擦角增大, 即 B 增大, 立管截面上的正應力隨著料柱高度的增加而增加。若料柱高度較高時, 截面上的正應力 ∀ h趨于常數, 隨著立管直徑 D 的增大, ∀ h 減小變緩( 圖 3) , 表明選用較大的立管直徑有利于流動穩定。
流化流動狀態應力分析
負壓差條件下立管內物料呈流化流動時固體顆
粒同流體的規律一樣, 其壓力與料封高度成正比, 即
( 5)
對比式( 4) 和( 5) 可知, 流化流動與非流化流動在壓力的傳遞上有很大的區別。非流化流動時, 翼閥閥板處壓力的變化不僅與顆粒密度和負壓差梯度有關, 而且還與料封高度、物料的性質有關。隨著料封高度的增加, 翼閥閥板處的壓力初始呈增加趨勢, 并隨著高度進一步增加而趨于一定值。料封高度的變化所引起壓力的變化不再引起閥板處壓力的變化, 說明閥板的開度將不能根據料封高度的變化而自行調節,這就是非流化流動在立管-翼閥系統內很難穩定操作, 并易于堵塞的原因。而對于流化流動, 當顆粒流率變化, 或其它原因引起了料封高度增加時, 立管中的壓力也隨之增高, 這種壓力的改變將傳遞到翼閥的閥板處, 閥板的受力平衡遭到破壞, 閥板內側的推動力大于外側的壓力, 閥板開度增加, 于是顆粒流率增加, 使得料封高度降低。反之則相反, 周而復始, 所以立管中壓力的變化可以順利地傳遞到翼閥閥板處,使得翼閥具有自動平衡和維持料封的能力, 因此, 立管中的流化流動操作比較穩定。